产品目录
液体涡轮流量计
液体流量计
水流量计
油流量计
气体涡轮流量计
椭圆齿轮流量计
电磁流量计
涡街流量计
蒸汽流量计
孔板流量计
旋进旋涡流量计
热式气体质量流量计
转子流量计
浮子流量计
靶式流量计
气体流量计
超声波流量计
磁翻板液位计
浮子液位计
浮球液位计
玻璃管液位计
雷达液位计
超声波液位计
投入式液位计
压力变送器
差压变送器
液位变送器
温度变送器
热电偶
热电阻
双金属温度计
推荐产品
联系我们
- 金湖凯铭仪表有限公司
- 联系电话:15195518515
- 在线客服:1464856260
- 电话:0517-86801009
- 传真号码:0517-86801007
- 邮箱:1464856260@qq.com
- 网址:http://m.bhdmvez.cn
- 地址:江苏省金湖县理士大道61号
气体涡轮计量表在工业生产中的使用与维护
发布时间:2021-03-10 06:50:58??点击次数:2602次
摘要: 气体涡轮计量表是速度式流量计,具有温压补偿、瞬时流量显示和累积流量积算功能。选用仪表类型时要考虑应用场合、精度要求和仪表功能等因素。该文介绍气体涡轮计量表的正确安装和维护及其在使用过程中常见故障现象和处理方法
引言
气体涡轮计量表是速度式流量计之一,主要用于工业管道介质流体的流量测量,如液体、气体、蒸气等单相流满管介质的测量。有模拟量标准信号或数字量脉冲信号输出,智能流量显示仪,具有温压补偿、瞬时流量显示和累积流量积算功能。便于计算机等数字系统配套使用,是一种比较先进、理想的流量仪表。
1 气体涡轮计量表的工作原理
气体涡轮计量表是由漩涡发生体、频率检测器和信号转换器等环节组成,输出 4 ~ 20 mADC 信号或脉冲电压信号。其测量原理是在流动的流体中的垂直流动方向安放 1 根或多根非流体型阻流体,在一定的流量范围内,流体在阻流体两侧交替地分离、释放出 2 串频率正比于管道内的平均流速、规则的、不对称有规律的交替漩涡列,如图 1 所示,且两侧漩涡旋转方向相反。采用检测元件测出漩涡频率就可以推算出流体的流量。

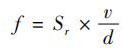
假设被测介质的平均流速为 v,旋涡的发生频率为 f,旋涡发生体迎面宽度为 d,一侧漩涡产生的频率 f 与 v 和 d 之间有如下关系式:

式中: Sr是雷诺数的函数,在 ReD = 2 ×104 ~ 7×106范围内,气体 5 ~ 50 m /s; 液体 0. 5 ~ 7 m /s,当旋涡发生体的形状和尺寸一定时,Sr可视为常数,涡街频率与体积流量成比例关系,不受流体物理性质和组份变化的影响。
气体涡轮计量表可以测量单相流状态下的液体、气体和蒸汽的流量,在混相流体状态时,流量计是不能作出精确测量的。
2 气体涡轮计量表的选用
气体涡轮计量表按传感器分为法兰式、夹持式和插入式。选型时优先考虑法兰式,其次是夹持式。原因是夹持式和插入式流量计的精度受安装影响较大,不规范的安装将产生很大的测量误差。无需做精确控制和计量的场合,可以选用插入式气体涡轮计量表。
气体涡轮计量表有一体式和分体式两种类型,在高温环境或高空或井中安装的场合,为了改善仪表的工作环境或方便仪表的检修选用分体式仪表。采用一体式仪表时,安装点周围应该留有较充裕的空间,以便安装接线和定期维护。
3 气体涡轮计量表的温压补偿
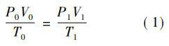
气体是可压缩流体,当温度和压力变化时,其体积量将随之改变。气体流量测量时均要求流量计输出标准体积流量或质量流量,而气体涡轮计量表只能测量出工况下的体积流量,所以气体涡轮计量表测量一般气体或蒸汽时仪表选型一定要考虑温压补偿功能。通过温压补偿可以将工况体积流量转换为质量流量或标况体积流量。测量一般气体时,补偿原理是根据标准气体状态方程式:

式中: P0,P1分别为标准状态下和工况下的绝对压力( Pa) ; T0,T1 分别为标准状态下和工况下的热力学温度( K) ; V0,V1分别为标准状态下和工况下的气体体积。
测量蒸汽时,不能使用标准气体状态方程式,饱和蒸气只需压力或温度补偿。一般有以下两种补偿方式:
一是当气体涡轮计量表传感器无内置压力、温度检测元件时,只能在仪表内部做静态补偿,就是输入固定的温度和压力值用于补偿。此方法只适用于温度压力变化不大的场所。气体涡轮计量表传感器有内置压力和温度检测元件时,仪表根据所测温度和压力判断蒸汽状态是属于饱和蒸气还是过热蒸汽,由仪表内部存储的蒸汽数据库自动计算质量流量。
二是采用蒸汽流量积算仪,将气体涡轮计量表所测工况体积流量以及温度和压力变送器所测信号传到蒸汽流量积算仪,如图 2 所示由蒸汽流量积算仪进行补偿运算。蒸汽流量积算仪内置过热蒸汽以及饱和蒸气补偿算法,可以输出质量流量、标准体积流量甚至热量和比焓等。

4 气体涡轮计量表的安装
气体涡轮计量表的正确安装是保障仪表正常运行的重要环节,若安装不正确,轻则影响仪表的测量精度,重则影响仪表的使用寿命,甚至会损坏仪表。气体涡轮计量表的安装管道要避免高温热源和辐射源的影响,安装场所须有隔热通风措施,避开强腐蚀环境。为了消除电干扰,现场布线要与高压线、电源线和电力设备保持足够的距离。
气体涡轮计量表尽量避免安装在震动较强的管道上,特别是横向震动; 流量计尽量避免安装在架空而过长的管道上,导致流量计下垂,造成法兰的密封泄漏; 若必须在上述两种情况下安装,需在传感器的上下游 2D 处分别设置管道紧固装置并加防震垫。
气体涡轮计量表安装在室外应注意防水,电气接口处应将电缆线弯成 U 形,避免水顺着电缆线进入仪表壳内。气体涡轮计量表安装点的上游较近处若安装有不断开关的阀门,会影响流量计的使用寿命,易对流量计造成永久性损坏。
气体涡轮计量表的口径如果与工艺管道相同,不能满足流量仪表要求时,或者在此流速下测量准确度不能保证时,需要缩小仪表口径,从而提高管内流速,保证测量精度。上下游必须有足够的直管段,若传感器安装点的上游在同一平面上有 2 个 90°弯头时,上游直管段≥25D,下游直管段≥5D。根据测量的需要,需在气体涡轮计量表附近测量压力和温度时,测压点应在传感器下游的( 3 ~ 5) D 处,测温点应在传感器下游的( 6 ~ 8) D 处,如图 3 所示。

5 气体涡轮计量表的维护与故障处理
气体涡轮计量表无可动部件,所以在正常使用情况下,维护工作量较少。在仪表投用的初始阶段,要求液体流量缓慢增加,以免损坏仪表的涡街发生体。
5. 1 气体涡轮计量表的维护
日常维护的任务是: 密切关注气体涡轮计量表显示板的低电池指示灯,如有闪光现象应尽快更换内部电池; 定期检查屏蔽和接地情况,消除外界干扰,有时指示问题是由于受到干扰造成的; 定期清洗气体涡轮计量表的探头,探头检测孔如果被污物堵塞,会影响正常测量。
5. 2 气体涡轮计量表的故障现象与处理
现象 1: 计量不准。处理方法: 检查仪表 K 系数或口径等关键参数设置; 检查测量气体或蒸汽时补偿方式或参数是否正确; 检查流量计安装时垫片是否同心或伸入管道等等。
现象 2: 传感器损坏。处理方法: 在蒸汽测量中,99% 的气体涡轮计量表传感器损坏原因是因为水锤,为避免水锤的产生需在工艺管线增加疏水器; 检查传感器材质选择是否正确,介质是否腐蚀仪表传感器; 检查传感器工作温度是否大于额定值。
6 结语
气体涡轮计量表采用微功耗高新技术,采用锂电池供电,可不间断运行 2 年以上; 可就地显示瞬时流量、累积流量等。气体涡轮计量表广泛适用于化工、石油、冶金、电力、煤炭等领域。只有在正确选型、正确安装和正确维护下才能保证其发挥应有的作用。
引言
气体涡轮计量表是速度式流量计之一,主要用于工业管道介质流体的流量测量,如液体、气体、蒸气等单相流满管介质的测量。有模拟量标准信号或数字量脉冲信号输出,智能流量显示仪,具有温压补偿、瞬时流量显示和累积流量积算功能。便于计算机等数字系统配套使用,是一种比较先进、理想的流量仪表。
1 气体涡轮计量表的工作原理
气体涡轮计量表是由漩涡发生体、频率检测器和信号转换器等环节组成,输出 4 ~ 20 mADC 信号或脉冲电压信号。其测量原理是在流动的流体中的垂直流动方向安放 1 根或多根非流体型阻流体,在一定的流量范围内,流体在阻流体两侧交替地分离、释放出 2 串频率正比于管道内的平均流速、规则的、不对称有规律的交替漩涡列,如图 1 所示,且两侧漩涡旋转方向相反。采用检测元件测出漩涡频率就可以推算出流体的流量。

假设被测介质的平均流速为 v,旋涡的发生频率为 f,旋涡发生体迎面宽度为 d,一侧漩涡产生的频率 f 与 v 和 d 之间有如下关系式:

式中: Sr是雷诺数的函数,在 ReD = 2 ×104 ~ 7×106范围内,气体 5 ~ 50 m /s; 液体 0. 5 ~ 7 m /s,当旋涡发生体的形状和尺寸一定时,Sr可视为常数,涡街频率与体积流量成比例关系,不受流体物理性质和组份变化的影响。
气体涡轮计量表可以测量单相流状态下的液体、气体和蒸汽的流量,在混相流体状态时,流量计是不能作出精确测量的。
2 气体涡轮计量表的选用
气体涡轮计量表按传感器分为法兰式、夹持式和插入式。选型时优先考虑法兰式,其次是夹持式。原因是夹持式和插入式流量计的精度受安装影响较大,不规范的安装将产生很大的测量误差。无需做精确控制和计量的场合,可以选用插入式气体涡轮计量表。
气体涡轮计量表有一体式和分体式两种类型,在高温环境或高空或井中安装的场合,为了改善仪表的工作环境或方便仪表的检修选用分体式仪表。采用一体式仪表时,安装点周围应该留有较充裕的空间,以便安装接线和定期维护。
3 气体涡轮计量表的温压补偿
气体是可压缩流体,当温度和压力变化时,其体积量将随之改变。气体流量测量时均要求流量计输出标准体积流量或质量流量,而气体涡轮计量表只能测量出工况下的体积流量,所以气体涡轮计量表测量一般气体或蒸汽时仪表选型一定要考虑温压补偿功能。通过温压补偿可以将工况体积流量转换为质量流量或标况体积流量。测量一般气体时,补偿原理是根据标准气体状态方程式:

式中: P0,P1分别为标准状态下和工况下的绝对压力( Pa) ; T0,T1 分别为标准状态下和工况下的热力学温度( K) ; V0,V1分别为标准状态下和工况下的气体体积。
测量蒸汽时,不能使用标准气体状态方程式,饱和蒸气只需压力或温度补偿。一般有以下两种补偿方式:
一是当气体涡轮计量表传感器无内置压力、温度检测元件时,只能在仪表内部做静态补偿,就是输入固定的温度和压力值用于补偿。此方法只适用于温度压力变化不大的场所。气体涡轮计量表传感器有内置压力和温度检测元件时,仪表根据所测温度和压力判断蒸汽状态是属于饱和蒸气还是过热蒸汽,由仪表内部存储的蒸汽数据库自动计算质量流量。
二是采用蒸汽流量积算仪,将气体涡轮计量表所测工况体积流量以及温度和压力变送器所测信号传到蒸汽流量积算仪,如图 2 所示由蒸汽流量积算仪进行补偿运算。蒸汽流量积算仪内置过热蒸汽以及饱和蒸气补偿算法,可以输出质量流量、标准体积流量甚至热量和比焓等。

4 气体涡轮计量表的安装
气体涡轮计量表的正确安装是保障仪表正常运行的重要环节,若安装不正确,轻则影响仪表的测量精度,重则影响仪表的使用寿命,甚至会损坏仪表。气体涡轮计量表的安装管道要避免高温热源和辐射源的影响,安装场所须有隔热通风措施,避开强腐蚀环境。为了消除电干扰,现场布线要与高压线、电源线和电力设备保持足够的距离。
气体涡轮计量表尽量避免安装在震动较强的管道上,特别是横向震动; 流量计尽量避免安装在架空而过长的管道上,导致流量计下垂,造成法兰的密封泄漏; 若必须在上述两种情况下安装,需在传感器的上下游 2D 处分别设置管道紧固装置并加防震垫。
气体涡轮计量表安装在室外应注意防水,电气接口处应将电缆线弯成 U 形,避免水顺着电缆线进入仪表壳内。气体涡轮计量表安装点的上游较近处若安装有不断开关的阀门,会影响流量计的使用寿命,易对流量计造成永久性损坏。
气体涡轮计量表的口径如果与工艺管道相同,不能满足流量仪表要求时,或者在此流速下测量准确度不能保证时,需要缩小仪表口径,从而提高管内流速,保证测量精度。上下游必须有足够的直管段,若传感器安装点的上游在同一平面上有 2 个 90°弯头时,上游直管段≥25D,下游直管段≥5D。根据测量的需要,需在气体涡轮计量表附近测量压力和温度时,测压点应在传感器下游的( 3 ~ 5) D 处,测温点应在传感器下游的( 6 ~ 8) D 处,如图 3 所示。

5 气体涡轮计量表的维护与故障处理
气体涡轮计量表无可动部件,所以在正常使用情况下,维护工作量较少。在仪表投用的初始阶段,要求液体流量缓慢增加,以免损坏仪表的涡街发生体。
5. 1 气体涡轮计量表的维护
日常维护的任务是: 密切关注气体涡轮计量表显示板的低电池指示灯,如有闪光现象应尽快更换内部电池; 定期检查屏蔽和接地情况,消除外界干扰,有时指示问题是由于受到干扰造成的; 定期清洗气体涡轮计量表的探头,探头检测孔如果被污物堵塞,会影响正常测量。
5. 2 气体涡轮计量表的故障现象与处理
现象 1: 计量不准。处理方法: 检查仪表 K 系数或口径等关键参数设置; 检查测量气体或蒸汽时补偿方式或参数是否正确; 检查流量计安装时垫片是否同心或伸入管道等等。
现象 2: 传感器损坏。处理方法: 在蒸汽测量中,99% 的气体涡轮计量表传感器损坏原因是因为水锤,为避免水锤的产生需在工艺管线增加疏水器; 检查传感器材质选择是否正确,介质是否腐蚀仪表传感器; 检查传感器工作温度是否大于额定值。
6 结语
气体涡轮计量表采用微功耗高新技术,采用锂电池供电,可不间断运行 2 年以上; 可就地显示瞬时流量、累积流量等。气体涡轮计量表广泛适用于化工、石油、冶金、电力、煤炭等领域。只有在正确选型、正确安装和正确维护下才能保证其发挥应有的作用。
相关资讯
- 气体涡轮流量计安装直管段要求
- 气体涡轮流量计的结构与工作原理
- 气体涡轮流量计的产品特点和适用范围
- 气体涡轮流量计选型指南与外形尺寸
- 气体涡轮流量计使用环境
- 气体涡轮流量计使用注意事项
- 气体涡轮流量计怎么清洗
- 气体涡轮流量计适用范围
- 气体涡轮流量计为什么要加油
- 气体涡轮流量计波动大解决办法
- 气体涡轮流量计安装距离要求
- 气体涡轮流量计安装注意事项
- 气体涡轮流量计应用范围
- 气体涡轮流量计常见故障有哪些
- 提高气体涡轮流量计精度的方法
- 气体涡轮流量计精度等级
- 气体涡轮流量计的技术参数
- 气体涡轮流量计不准原因
- 气体涡轮流量计的优缺点
- 气体涡轮流量计的用途
- 气体涡轮流量计接线图
- 气体涡轮流量计种类
- 用气体涡轮流量计测量天然气流量
- 气体涡轮流量计的优点
- 气体涡轮流量计使用方法
- 气体涡轮流量计的选型表
- 气体涡轮流量计结构图
- 影响气体涡轮流量计测量精度的因素及措施
- 气体涡轮流量计维护保养
- 气体涡轮流量计特点

