产品目录
液体涡轮流量计
液体流量计
水流量计
油流量计
气体涡轮流量计
椭圆齿轮流量计
电磁流量计
涡街流量计
蒸汽流量计
孔板流量计
旋进旋涡流量计
热式气体质量流量计
转子流量计
浮子流量计
靶式流量计
气体流量计
超声波流量计
磁翻板液位计
浮子液位计
浮球液位计
玻璃管液位计
雷达液位计
超声波液位计
投入式液位计
压力变送器
差压变送器
液位变送器
温度变送器
热电偶
热电阻
双金属温度计
推荐产品
联系我们
- 金湖凯铭仪表有限公司
- 联系电话:15195518515
- 在线客服:1464856260
- 电话:0517-86801009
- 传真号码:0517-86801007
- 邮箱:1464856260@qq.com
- 网址:http://m.bhdmvez.cn
- 地址:江苏省金湖县理士大道61号
分析了涡轮流量计校准不确定度的评定
发布时间:2020-11-26 07:58:03??点击次数:2935次
文摘:根据测量不确定度的原理,详细分析了涡轮流量计的校准不确定度,推导出它的计算公式,并且结合具体的流量校准装置进行了简化和计算举例。
1、引言
带远传涡轮流量计校准不确定度的评定是在我所新建成的红油流量校准装置准备开展涡轮流量计的校准时提出来的。它是在JJG198 94速度式流量计的基础上,根据测量不确定度原理编写的。文章从标准体积管校准涡轮流量计的数学模型出发,详细分析了所有不确定度分量,导出了它们的计算公式,并结合具体的红油流量校准装置,给出了简化公式和计算实例。
2、校准时所用的数学模型
2.1 修正前的*i校准点在标准体积管处的流量按公式(1)计算
qsig=V/Ti (1)
式中:qsig*i校准点在标准体积管处的名义流量(即标准状态下的流量,下同),L/min;V标准体积管在标准状态下的标准体积,L;Ti*i校准点流体经过标准体积V时所需的时间,s。
2.2 修正后的*i校准点在标准体积管处的流量按公式(2)计算

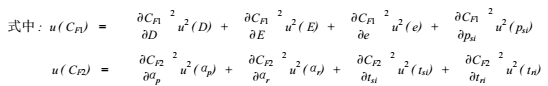
式中:qsi*i校准点在标准体积管处的实际流量,L/min;qsig*i校准点在标准体积管处名义流量的平均值,L/min;D标准体积管的内径,mm;E标准体积管材料的弹性模量,Pa;e标准体积管的壁厚,mm;psi*i校准点在标准体积管处的流体表压力的平均值,Pa;αp标准体积管的线膨胀数,℃^-1;tsi*i校准点在标准体积管处的流体温度的平均值,℃;αr体积管测量杆的线膨胀系数,℃^-1;tri*i校准点在体积管测量杆处的温度,℃。
2.3 在*i校准点,被校流量计的实际流量(即校准值)按公式(3),(4)计算

式中:t所有校准点在流量计处流体温度的平均值,℃;m被校流量计的流量校准点数目;ti*i校准点在流量计处的流体温度的平均值,℃;qi*i校准点被校流量计的实际流量,L/min;β流体的体积膨胀系数,℃^-1;k流体的压缩系数,Pa^-1;pi*i校准点在流量计处的流体表压力的平均值,Pa。
3、校准不确定度的评定
3.1 未修正的标准体积管流量的标准不确定度u(qsig)的计算
3.1.1 A类评定
由n次测量值引出的标准不确定度分量可用公式(5)计算

3.1.2 B类评定
由公式(1)引出的标准不确定度分量可用公式(6)计算

式中:u( V )标准体积管体积校准的标准不确定度;u(Ti)标准体积管测量时间的标准不确定度。
3.13 未修正的标准体积管流量的合成相对标准不确定度按公式(7)计算

3.2 已修正的标准体积管流量的标准不确定度u(qsi)的计算将公式(2)写成qsi=qsigCF1CF2

这样,已修正的标准体积管流量的合成相对标准不确定度可用公式(8)计算


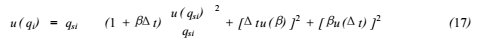
3.3 被校流量计校准值的标准不确定度u(qi)的计算
按不确定度传递公式,由公式(4)引出的被校流量计校准值的标准不确定度可用公式(9)计算

3.4 被校流量计校准值的扩展不确定度U可用公式(10)计算
U=2u(qi) (取k=2) (10)
3.5 非校准点的测量不确定度计算
在校准曲线的非校准点上,用内插法时的扩展不确定度U1可用公式(11)计算
U1=2u2(qi)+uB2 (取k=2) (11)
它与校准点上的扩展不确定度U相比,增加了两个校准点之间的非线性引入的不确定度uB,它可以用B类评定给出。uB=c/3,c为两个校准点之间非线性的*大偏差估值的一半。
3.6 *小二乘法拟合直线上任意点的不确定度
将m个校准值用*小二乘法拟合成直线时,拟合线上任意点的扩展不确定度U2可用公式(12)式计算
U2=2u2(qi)+uA2 (取k=2) (12)
它与校准点上的扩展不确定度U相比,增加了由于各个校准值与拟合直线的偏差引入的不确定度uA,它可以用A类评定给出。
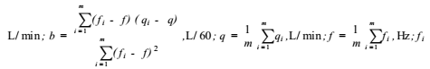
设由m个校准值用*小二乘法拟合的*佳直线方程为
q=a+bf (13)
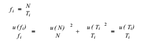
式中:q对应于f在拟合直线上的流量值,L/min;f流量计输出频率,Hz;a= q-bf,

流量计在校准点上输出频率的平均值,Hz。
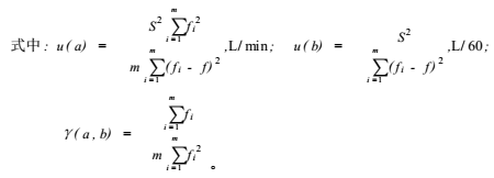
它的估计标准偏差为

式中:q(fi)用*小二乘法公式计算出的*i校准点的频率fi所对应的流量值,L/min。
这样,q(fi)的标准不确定度uA可用公式(14)表示
uA=u2(a)+fi2u2(b)+b2u2(fi)+2fiu(a)u(b)γ(a,b) (14)

4、校准不确定度的简化计算
以上是对通用的标准体积管在校准涡轮流量计时的校准不确定度的详细分析,但在具体的标准体积管的流量校准系统中往往可以简化。下面就红油流量校准系统的校准不确定度进行简化。
4.1 简化未修正的标准体积管流量的标准不确定度u(qsig)
在该系统中:

而在*大流量校准时Ti=1.27s,那么,在其他校准点校准时Ti>1.27s??傻?/div>

这样,公式(7)就可以简化为

4.2 简化已修正的标准体积管流量的标准不确定度u(qsi)
在系统中:

下面将对公式(8)进行分析计算


4.3 被校流量计校准值的标准不确定度u(qi)的简化

下面将对公式(9)进行分析计算:

综合上述分析,可以将公式(9)简化为

4.4 *小二乘直线引入的不确定度uA的简化
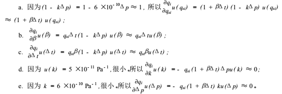
由于标准体积管在测量涡轮流量计的脉冲个数N时,采用了双计时法,消除了脉冲计数时的±1字的误差,这样频率的测量标准不确定度可以写成


5、涡轮流量计校准不确定举例
5.1 实测数据及系统有关参数
实测数据见表1。

5.2 未修正的标准体积管流量的标准不确定度

5.3 修正后的标准体积管流量的标准不确定度
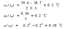
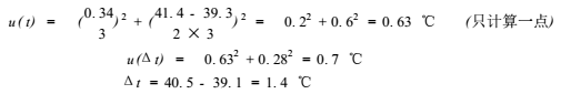
先计算u(tsi)
u(tsi)=u12(tsi)+u22(tsi)
式中:u1(tsi)*i校准点体积管处温度变化引入的标准不确定度;u2(tsi)测温变送器的测量不确定度。
在这个例子中

根据公式(16)计算得

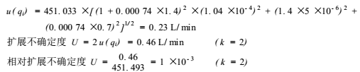
5.4 被校流量计校准值不确定度
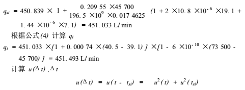
根据公式(2)计算qsi

u(t)与u(tsi)的计算方法相似,它也包含测温变送器的测量不确定度和被校流量计处红油温度的变化所引起的测量不确定度

根据公式(17)计算u(qi)

相关资讯
- 气体涡轮流量计安装直管段要求
- 气体涡轮流量计的结构与工作原理
- 气体涡轮流量计的产品特点和适用范围
- 气体涡轮流量计选型指南与外形尺寸
- 涡轮流量计的常见故障及排除
- 涡轮流量表怎么调节
- 涡轮流量计安装直管段要求
- 涡轮流量计的适用场合与量程范围
- 涡轮流量计由什么组成
- 涡轮流量计的工作原理
- 压力对涡轮流量计精度的影响
- 液体涡轮流量计使用常见问题
- 液体涡轮流量计的使用场合
- 液体涡轮流量计怎么接电
- 涡轮流量计的使用范围
- 涡轮流量计安装条件与环境要求
- 涡轮流量计安装在什么位置
- 液体涡轮流量计设置方法
- 气体涡轮流量计使用环境
- 气体涡轮流量计使用注意事项
- 气体涡轮流量计怎么清洗
- 气体涡轮流量计适用范围
- 气体涡轮流量计为什么要加油
- 气体涡轮流量计波动大解决办法
- 气体涡轮流量计安装距离要求
- 气体涡轮流量计安装注意事项
- 气体涡轮流量计应用范围
- 气体涡轮流量计常见故障有哪些
- 提高气体涡轮流量计精度的方法
- 气体涡轮流量计精度等级

