产品目录
液体涡轮流量计
液体流量计
水流量计
油流量计
气体涡轮流量计
椭圆齿轮流量计
电磁流量计
涡街流量计
蒸汽流量计
孔板流量计
旋进旋涡流量计
热式气体质量流量计
转子流量计
浮子流量计
靶式流量计
气体流量计
超声波流量计
磁翻板液位计
浮子液位计
浮球液位计
玻璃管液位计
雷达液位计
超声波液位计
投入式液位计
压力变送器
差压变送器
液位变送器
温度变送器
热电偶
热电阻
双金属温度计
推荐产品
联系我们
- 金湖凯铭仪表有限公司
- 联系电话:15195518515
- 在线客服:1464856260
- 电话:0517-86801009
- 传真号码:0517-86801007
- 邮箱:1464856260@qq.com
- 网址:http://m.bhdmvez.cn
- 地址:江苏省金湖县理士大道61号
dn25气体涡轮流量计在不同压力下计量性能
发布时间:2021-01-17 15:33:08??点击次数:3035次
摘要:在天然气输送管道与贸易计量、城市燃气工商业用户的流量计量中,常采用dn25气体涡轮流量计。dn25气体涡轮流量计发展历史悠久,也积累了相当的天然气应用数据,被认为计量准确度高、适用性良好的天然气流量计量仪表。由于使用场所的工作条件各不相同,工作压力根据应用的需要一般从几千帕到几兆帕,而在我国的计量机构一般采用负压装置检定。对于在不同压力条件下,dn25气体涡轮流量计的计量特性的数据还非常缺乏。文章基于具备流量计制造生产的条件下,分别对不同规格的dn25气体涡轮流量计在临界流喷嘴流量装置、高压环道流量标准装置进行检定,试验压力分别为负压、0.1MPa、0.8MPa和2.0MPa,从而探索dn25气体涡轮流量计在不同压力下的计量特性,供dn25气体涡轮流量计制造企业作为设计及改进的参考。
天然气作为重要的洁净能源,近几年在城市中的应用迅猛发展。城市高压天然气管网,给城市提供天然气关系到千家万户,然而天然气是一种非理想气体,实际输送的压力高于常压。在遇到天然气输送管线泄漏或检修时会导致天然气压力大幅波动;或者由于天然气输送管线中出现民用高峰期时,也会造成天然气压力波动等。
现在国内的气体流量计生产厂家一般采用音速喷嘴或钟罩法来进行产品检定,而出于经济上和技术上的考虑,它们中的大多数使用的是负压法的音速文丘里喷嘴检定装置。而采用负压法的装置上只能用空气作介质对流量计进行常压检定,但是流量计的实际工作环境要远比此复杂。在低压力下标定后在高压力下使用,在低密度下标定后在高密度下使用,流量计仪表系数都有改变的可能,那么,压力的增加、密度的变化会对气体流量计的仪表系数产生多大的影响?根据国内外相关文献研究得出,影响仪表系数变化的因素有:(1)介质密度的影响。(2)粘度变化的影响。(3)温度变化的影响。(4)压力变化的影响等。
dn25气体涡轮流量计作为目前国内少数能在高压下计量的流量计,本文将对其在不同气体流体压力下的计量性能进行研究及试验,主要分析涡轮流量计在气体流体的不同压力下,流量计仪表系数的变化情况,验证其计量性能是否能够满足计量要求。
1dn25气体涡轮流量计的基本结构和工作原理
涡轮流量计由涡轮流量传感器和流量显示仪表组成。将涡轮流量计感知流体流速的涡轮组件(包括前后导流体、叶轮、轴承、壳体、信号检测组件)统称为涡轮流量传感器。图1为涡轮流量计的基本结构图。

根据动量守恒定律通过涡轮受理过程进行分析,可以比较直观地描述基本工作过程,流体通过时推动叶轮,产生主动力矩。dn25气体涡轮流量计属于速度式流量计,涡轮流量传感器输出与流量成正比关系的脉冲频率,输入到流量显示仪表或计算机。在某**量范围和一定粘度范围内,涡轮流量计输出的信号脉冲频率f与通过涡轮流量计的体积流量qV成正比,即:
f=KqV (1)
式中,K为涡轮流量计的仪表系数,1/L或1/m3,仪表系数K应为一常数,其数值由实验标准标定得到。每台涡轮流量传感器的校准(或合格)证上都标明经过实流检定测得分段不同流量范围的仪表系数K值。
仪表系数K的意义是单位体积流量通过涡轮流量传感器输出的信号脉冲频率f(或信号脉冲总数N)。所以,当测得传感器输出的信号脉冲频率或某一时间内的脉冲总数N后,分别除以仪表系数K,就可得到体积流量qV或流量总量Q,即:

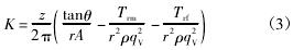
要使涡轮流量计能够较准确的工作,其仪表系数K必须为常数。但实际上涡轮流量计的工作特性并非如此,即:

式中,r为叶轮的平均半径;ρ为流体的密度;A为流通截面积;θ为涡轮叶片与轴线的夹角;Trm为机械摩擦阻力矩;Trf为流体阻力矩。
以DN50为例,其流量特性曲线如图2所示。

在理想状态下,也就是假定涡轮处于匀速运动的平衡状态,机械摩擦阻力矩Trm和流体阻力矩Trf都足够小至可以忽略不计的状态,仪表系数与流量的关系为

可见,理想特性仅仅与涡轮流量计的结构参数有关,仪表系数为一个常数,与流体变化无关。
2试验
试验选用了采用我司研发生产的1台TBQM-G65-DN50和1台TBQM-G100-DN80口径的dn25气体涡轮流量计作为研究对象,流量范围分别为6.5~100m3/h和8~160m3/h。依照JJG1037—2008《涡轮流量计检定规程》规定,流量检定点应包括qmax、0.7qmax、0.40qmax、0.25qmax、qt、0.1qmax、qmin。所以,相应的TBQM-G65-DN50的流量检定点为:100、70、40、25、20、10、6.5m3/h;TBQM-G100-DN80的流量检定点为:160、112、64、40、32、16、8m3/h,其中每个流量点测试3次。
2.1检定所用的装置
采用DresserInnovativeGasMeteringSolutions装置进行负压检定,如图3所示,其流量范围为0.5~1600m3/h,检测口径为DN25~DN150,不确定度为0.25%。

高压环道气体流量标准装置,如图4所示,该装置可在实际工作的压力状态下检测流量计的性能,主要部件都来自德国,是国内*台闭环式高压气体装置。其流量范围为1~2500m3/h,检测口径为DN20~DN250,工作压力范围为0.1~2.0MPa,不确定度为0.33%。目前,我司的高压环道装置已将量传到欧洲VSL国际标准实验室,也正在申请国内取证和建标,并且正在和浙江省院以及中国计量院做实验对比工作。采用该套装置进行压力为0.1MPa、0.8MPa和2.0MPa的检定。

2.2检定所得仪表系数
不同压力下每个流量计的仪表系数如表1和表2所示。

流量计仪表系数:

式中,K为流量计的仪表系数,1/m3;(Ki)max为流量计在qt到qmax流量范围各流量检定点得到的Ki中的*大值,1/m3;(Ki)min为流量计在qt到qmax流量范围各流量检定点得到的Ki中的*小值,1/m3。
计算所得的不同压力下仪表系数如表3和表4所示。


2.3检定数据处理与分析
2.3.1仪表系数分析
根据表1和表2绘制得到不同压力下dn25气体涡轮流量计的仪表系数特性,如图5和图6所示。


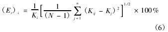
随着工作压力的变化,涡轮流量计仪表系数的变化很小。参考JJG1037—2008《涡轮流量计检定规程》计量检定规程中流量计的重复性的计算方法,可以定义不同压力下涡轮流量计仪表系数的重复性为:

式中:(Er)i为不同工作压力下流量计仪表系数的重复性,%;Ki为不同工作压力下流量计仪表系数的平均系数,1/m3;Kij为*i种工作压力下流量计的仪表系数,1/m3;n为不同工作压力的个数。
计算得出TBQM-G65-DN50在不同工作压力下流量计仪表系数的重复性:

2.3.2线性度分析
欧洲标准EN12261:2002的有关规定———*5.2.1.1款,本款对于仪表的固有性能提出了严格的要求,即如果仪表特性试验在多于一个压力下进行,对于公称口径大于100mm的流量计,在0.25qmax和qmax之间的所有结果间的差不得大于0.5%,对于公称口径小于等于100mm的流量计,在0.25qmax和qmax之间的所有结果间的差不得大于1.0%。
根据表1和表2中的数据进行计算,对于TBQM-G65-DN50,所有检定结果*大差值为0.558%;TBQM-G100-DN80的所有检定结果*大差值为0.904%,结果均符合标准。
2.4小结
(1)根据式(6)计算出的在不同工作压力下流量计仪表系数的重复性,说明涡轮流量计仪表系数受压力变化的敏感性较小。TBQM-G65-DN50在4种不同压力下流量计仪表系数变化的重复性仅为0.502%,而TBQM-G100-DN80的重复性仅为0.282%。
(2)随着工作压力的变化,涡轮流量计线性度变化不大。说明流体工作压力的变化对涡轮流量计的线性度影响很小。图5和图6是在4种不同压力下2台dn25气体涡轮流量计的仪表系数随流量变化的曲线。从图中可以很直观地看出,在流量的上下限之间,压力对涡轮流量计仪表系数的影响。4种不同压力下的曲线型一致性很好,也与图2中理论的特性曲线有较好的符合性,只是高压相较于低压曲线整体向上漂移。
(3)经过计算分析,流量计符合欧洲标准EN12261的有关规定———*5.2.1.1款。
(4)此外,根据所有线性度结果计算得出,压力的变化对仪表系数的影响小于流量变化的影响。
3仪表系数研究讨论
3.1流量显示装置
前文已经提到,涡轮流量计是由涡轮流量传感器和流量显示仪表组成。目前公知的涡轮流量计大概采用以下几种流量显示仪表:带字轮的机械计算器、带温度和压力补偿的电子显示装置、流量计算机和带无线远传功能的电子显示装置等。
上述提到的显示装置除了流量计算机,其余都是通过机芯上主轴的蜗杆与齿轮的配合传递扭矩,并通过齿轮减速传动以及磁耦合联接驱动字轮计数器转动而得到流量累积与显示,俗称低频取信号方式。流量计算机包含两种取信号方式,如前文所述的低频,另外一种是直接取叶轮转动的信号,俗称高频。
3.2机械计数器齿轮调整
涡轮流量计出厂前用取高频信号方法进行标定,然后根据得出仪表系数进行机械计数器内齿轮配对,传动比尽量接近标定出的仪表系数。也就是说,我们可以调整齿轮配对以满足仪表系数的变化。
从上文得知,不同压力波动是存在的,若流量计工作压力波动范围较小,建议其在实际工作压力下进行相应测试按其检定数据配齿,使实际传动比的理论仪表系数尽可能接近在该压力点下测试的仪表系数,流量计的计量将更加精确。
但是,机械计数器有一缺点,调配出的仪表系数是固定,只能对某**量点进行修正,不能对所有流量点修正。所以对于某些流量点来说,误差可能还是存在的。
3.3电子表头修正
二次电子显示装置、体积修正仪、流量计算机等俗称电子表头,其液晶屏幕上可显示多种信息,比如瞬时流量、总流量、温度和压力等。电子表头含有非常多的功能,可以根据温度压力对流体体积进行修正,可以根据流量或者表压的不同进行仪表系数的调整,使在用流量计的流量特性曲线接近一条直线,这就大大提高了流量计的准确度。带电子表头的涡轮流量计很好地解决了带机械计数器流量计存在的问题,其可以进行每个流量点的仪表系数修正。然而,它也同样有缺点,比如说安全防爆问题,还有电子表头价格昂贵,不便于普及。
4结束语
dn25气体涡轮流量计仪表系数受压力变化的敏感性较小,TBQM-G65-DN50的仪表系数变化的重复性仅为0.502%,而TBQM-G100-DN80的重复性仅为0.282%。随着工作压力的变化,涡轮流量计线性度变化不大。在4种不同压力下2台dn25气体涡轮流量计的仪表系数曲线型一致性很好,与理论的特性曲线有很好的符合性,只是对于DN50口径的dn25气体涡轮流量计来说,高压相较于低压曲线整体向上漂移,而DN80口径的dn25气体涡轮流量计相对稳定,波动更小。流量计符合欧洲标准EN12261的有关规定———*5.2.1.1款。压力的变化对仪表系数的影响小于流量变化的影响。
虽然在不同压力下,dn25气体涡轮流量计的仪表性能有些许波动,但是靠着机械计数器和电子表头的调整或修正,其仪表性能将能加稳定且准确。
鉴于目前的试验研究还不够系统和全面,需开展进一步的研究才能明确不同压力下对dn25气体涡轮流量计的影响,特别是检定的介质如能用天然气,那么试验结果将更具说服力。
天然气作为重要的洁净能源,近几年在城市中的应用迅猛发展。城市高压天然气管网,给城市提供天然气关系到千家万户,然而天然气是一种非理想气体,实际输送的压力高于常压。在遇到天然气输送管线泄漏或检修时会导致天然气压力大幅波动;或者由于天然气输送管线中出现民用高峰期时,也会造成天然气压力波动等。
现在国内的气体流量计生产厂家一般采用音速喷嘴或钟罩法来进行产品检定,而出于经济上和技术上的考虑,它们中的大多数使用的是负压法的音速文丘里喷嘴检定装置。而采用负压法的装置上只能用空气作介质对流量计进行常压检定,但是流量计的实际工作环境要远比此复杂。在低压力下标定后在高压力下使用,在低密度下标定后在高密度下使用,流量计仪表系数都有改变的可能,那么,压力的增加、密度的变化会对气体流量计的仪表系数产生多大的影响?根据国内外相关文献研究得出,影响仪表系数变化的因素有:(1)介质密度的影响。(2)粘度变化的影响。(3)温度变化的影响。(4)压力变化的影响等。
dn25气体涡轮流量计作为目前国内少数能在高压下计量的流量计,本文将对其在不同气体流体压力下的计量性能进行研究及试验,主要分析涡轮流量计在气体流体的不同压力下,流量计仪表系数的变化情况,验证其计量性能是否能够满足计量要求。
1dn25气体涡轮流量计的基本结构和工作原理
涡轮流量计由涡轮流量传感器和流量显示仪表组成。将涡轮流量计感知流体流速的涡轮组件(包括前后导流体、叶轮、轴承、壳体、信号检测组件)统称为涡轮流量传感器。图1为涡轮流量计的基本结构图。

根据动量守恒定律通过涡轮受理过程进行分析,可以比较直观地描述基本工作过程,流体通过时推动叶轮,产生主动力矩。dn25气体涡轮流量计属于速度式流量计,涡轮流量传感器输出与流量成正比关系的脉冲频率,输入到流量显示仪表或计算机。在某**量范围和一定粘度范围内,涡轮流量计输出的信号脉冲频率f与通过涡轮流量计的体积流量qV成正比,即:
f=KqV (1)
式中,K为涡轮流量计的仪表系数,1/L或1/m3,仪表系数K应为一常数,其数值由实验标准标定得到。每台涡轮流量传感器的校准(或合格)证上都标明经过实流检定测得分段不同流量范围的仪表系数K值。
仪表系数K的意义是单位体积流量通过涡轮流量传感器输出的信号脉冲频率f(或信号脉冲总数N)。所以,当测得传感器输出的信号脉冲频率或某一时间内的脉冲总数N后,分别除以仪表系数K,就可得到体积流量qV或流量总量Q,即:

要使涡轮流量计能够较准确的工作,其仪表系数K必须为常数。但实际上涡轮流量计的工作特性并非如此,即:

式中,r为叶轮的平均半径;ρ为流体的密度;A为流通截面积;θ为涡轮叶片与轴线的夹角;Trm为机械摩擦阻力矩;Trf为流体阻力矩。
以DN50为例,其流量特性曲线如图2所示。

在理想状态下,也就是假定涡轮处于匀速运动的平衡状态,机械摩擦阻力矩Trm和流体阻力矩Trf都足够小至可以忽略不计的状态,仪表系数与流量的关系为

可见,理想特性仅仅与涡轮流量计的结构参数有关,仪表系数为一个常数,与流体变化无关。
2试验
试验选用了采用我司研发生产的1台TBQM-G65-DN50和1台TBQM-G100-DN80口径的dn25气体涡轮流量计作为研究对象,流量范围分别为6.5~100m3/h和8~160m3/h。依照JJG1037—2008《涡轮流量计检定规程》规定,流量检定点应包括qmax、0.7qmax、0.40qmax、0.25qmax、qt、0.1qmax、qmin。所以,相应的TBQM-G65-DN50的流量检定点为:100、70、40、25、20、10、6.5m3/h;TBQM-G100-DN80的流量检定点为:160、112、64、40、32、16、8m3/h,其中每个流量点测试3次。
2.1检定所用的装置
采用DresserInnovativeGasMeteringSolutions装置进行负压检定,如图3所示,其流量范围为0.5~1600m3/h,检测口径为DN25~DN150,不确定度为0.25%。

高压环道气体流量标准装置,如图4所示,该装置可在实际工作的压力状态下检测流量计的性能,主要部件都来自德国,是国内*台闭环式高压气体装置。其流量范围为1~2500m3/h,检测口径为DN20~DN250,工作压力范围为0.1~2.0MPa,不确定度为0.33%。目前,我司的高压环道装置已将量传到欧洲VSL国际标准实验室,也正在申请国内取证和建标,并且正在和浙江省院以及中国计量院做实验对比工作。采用该套装置进行压力为0.1MPa、0.8MPa和2.0MPa的检定。

2.2检定所得仪表系数
不同压力下每个流量计的仪表系数如表1和表2所示。

流量计仪表系数:

式中,K为流量计的仪表系数,1/m3;(Ki)max为流量计在qt到qmax流量范围各流量检定点得到的Ki中的*大值,1/m3;(Ki)min为流量计在qt到qmax流量范围各流量检定点得到的Ki中的*小值,1/m3。
计算所得的不同压力下仪表系数如表3和表4所示。


2.3检定数据处理与分析
2.3.1仪表系数分析
根据表1和表2绘制得到不同压力下dn25气体涡轮流量计的仪表系数特性,如图5和图6所示。


随着工作压力的变化,涡轮流量计仪表系数的变化很小。参考JJG1037—2008《涡轮流量计检定规程》计量检定规程中流量计的重复性的计算方法,可以定义不同压力下涡轮流量计仪表系数的重复性为:

式中:(Er)i为不同工作压力下流量计仪表系数的重复性,%;Ki为不同工作压力下流量计仪表系数的平均系数,1/m3;Kij为*i种工作压力下流量计的仪表系数,1/m3;n为不同工作压力的个数。
计算得出TBQM-G65-DN50在不同工作压力下流量计仪表系数的重复性:

2.3.2线性度分析
欧洲标准EN12261:2002的有关规定———*5.2.1.1款,本款对于仪表的固有性能提出了严格的要求,即如果仪表特性试验在多于一个压力下进行,对于公称口径大于100mm的流量计,在0.25qmax和qmax之间的所有结果间的差不得大于0.5%,对于公称口径小于等于100mm的流量计,在0.25qmax和qmax之间的所有结果间的差不得大于1.0%。
根据表1和表2中的数据进行计算,对于TBQM-G65-DN50,所有检定结果*大差值为0.558%;TBQM-G100-DN80的所有检定结果*大差值为0.904%,结果均符合标准。
2.4小结
(1)根据式(6)计算出的在不同工作压力下流量计仪表系数的重复性,说明涡轮流量计仪表系数受压力变化的敏感性较小。TBQM-G65-DN50在4种不同压力下流量计仪表系数变化的重复性仅为0.502%,而TBQM-G100-DN80的重复性仅为0.282%。
(2)随着工作压力的变化,涡轮流量计线性度变化不大。说明流体工作压力的变化对涡轮流量计的线性度影响很小。图5和图6是在4种不同压力下2台dn25气体涡轮流量计的仪表系数随流量变化的曲线。从图中可以很直观地看出,在流量的上下限之间,压力对涡轮流量计仪表系数的影响。4种不同压力下的曲线型一致性很好,也与图2中理论的特性曲线有较好的符合性,只是高压相较于低压曲线整体向上漂移。
(3)经过计算分析,流量计符合欧洲标准EN12261的有关规定———*5.2.1.1款。
(4)此外,根据所有线性度结果计算得出,压力的变化对仪表系数的影响小于流量变化的影响。
3仪表系数研究讨论
3.1流量显示装置
前文已经提到,涡轮流量计是由涡轮流量传感器和流量显示仪表组成。目前公知的涡轮流量计大概采用以下几种流量显示仪表:带字轮的机械计算器、带温度和压力补偿的电子显示装置、流量计算机和带无线远传功能的电子显示装置等。
上述提到的显示装置除了流量计算机,其余都是通过机芯上主轴的蜗杆与齿轮的配合传递扭矩,并通过齿轮减速传动以及磁耦合联接驱动字轮计数器转动而得到流量累积与显示,俗称低频取信号方式。流量计算机包含两种取信号方式,如前文所述的低频,另外一种是直接取叶轮转动的信号,俗称高频。
3.2机械计数器齿轮调整
涡轮流量计出厂前用取高频信号方法进行标定,然后根据得出仪表系数进行机械计数器内齿轮配对,传动比尽量接近标定出的仪表系数。也就是说,我们可以调整齿轮配对以满足仪表系数的变化。
从上文得知,不同压力波动是存在的,若流量计工作压力波动范围较小,建议其在实际工作压力下进行相应测试按其检定数据配齿,使实际传动比的理论仪表系数尽可能接近在该压力点下测试的仪表系数,流量计的计量将更加精确。
但是,机械计数器有一缺点,调配出的仪表系数是固定,只能对某**量点进行修正,不能对所有流量点修正。所以对于某些流量点来说,误差可能还是存在的。
3.3电子表头修正
二次电子显示装置、体积修正仪、流量计算机等俗称电子表头,其液晶屏幕上可显示多种信息,比如瞬时流量、总流量、温度和压力等。电子表头含有非常多的功能,可以根据温度压力对流体体积进行修正,可以根据流量或者表压的不同进行仪表系数的调整,使在用流量计的流量特性曲线接近一条直线,这就大大提高了流量计的准确度。带电子表头的涡轮流量计很好地解决了带机械计数器流量计存在的问题,其可以进行每个流量点的仪表系数修正。然而,它也同样有缺点,比如说安全防爆问题,还有电子表头价格昂贵,不便于普及。
4结束语
dn25气体涡轮流量计仪表系数受压力变化的敏感性较小,TBQM-G65-DN50的仪表系数变化的重复性仅为0.502%,而TBQM-G100-DN80的重复性仅为0.282%。随着工作压力的变化,涡轮流量计线性度变化不大。在4种不同压力下2台dn25气体涡轮流量计的仪表系数曲线型一致性很好,与理论的特性曲线有很好的符合性,只是对于DN50口径的dn25气体涡轮流量计来说,高压相较于低压曲线整体向上漂移,而DN80口径的dn25气体涡轮流量计相对稳定,波动更小。流量计符合欧洲标准EN12261的有关规定———*5.2.1.1款。压力的变化对仪表系数的影响小于流量变化的影响。
虽然在不同压力下,dn25气体涡轮流量计的仪表性能有些许波动,但是靠着机械计数器和电子表头的调整或修正,其仪表性能将能加稳定且准确。
鉴于目前的试验研究还不够系统和全面,需开展进一步的研究才能明确不同压力下对dn25气体涡轮流量计的影响,特别是检定的介质如能用天然气,那么试验结果将更具说服力。

