产品目录
液体涡轮流量计
液体流量计
水流量计
油流量计
气体涡轮流量计
椭圆齿轮流量计
电磁流量计
涡街流量计
蒸汽流量计
孔板流量计
旋进旋涡流量计
热式气体质量流量计
转子流量计
浮子流量计
靶式流量计
气体流量计
超声波流量计
磁翻板液位计
浮子液位计
浮球液位计
玻璃管液位计
雷达液位计
超声波液位计
投入式液位计
压力变送器
差压变送器
液位变送器
温度变送器
热电偶
热电阻
双金属温度计
推荐产品
联系我们
- 金湖凯铭仪表有限公司
- 联系电话:15195518515
- 在线客服:1464856260
- 电话:0517-86801009
- 传真号码:0517-86801007
- 邮箱:1464856260@qq.com
- 网址:http://m.bhdmvez.cn
- 地址:江苏省金湖县理士大道61号
液体流量计校验方法
发布时间:2021-05-24 01:08:08??点击次数:2870次
摘要:主要讨论了采用比对法对液体流量计进行在线校准的过程,分析其在现场使用时,受工作条件、环境变化而产生的误差因素的影响,经过不确定度的分析和现场实验数据的验证,达到满足现场使用的要求。
在石油、化工、水电等工矿部门,对液态流体流量的检测已成为贸易交接和工业生产中不可缺少的重要组成部分。而各种检测流量的电磁、涡轮、差压、容积和质量等流量计都需要将其传感器安装在管内,不仅不便于拆卸,而且有的受工况(无法停车)和流体性质(有毒、有腐蚀性、易爆及带放射性)的影响根本无法拆卸。因此,如何对越来越多的大管径、大流量的液体流量计进行在线校准,成为一个意义重大亟待解决的问题。
1 校准方法
1.1 校准条件
一般情况下,超声波换能器的安装位置应满足标准管段上游直管段不小于15倍管径长度,下游直管段不小于10倍管径长度。对水泵、半开阀门等严重扰流件,应保证前后各30倍管径长度直管段。电磁流量计本体可视为直管段。标准管段及流量计传感器法兰密封垫不能阻碍流体。
环境温度、大气相对湿度、大气压力应符合使用要求,外界磁场、机械振动应小到对流量计影响可忽略不计的程度。管道中应充满水且不含有气泡。
对于200mm以下(含200mm)管道,校准前应对超声波流量计进行零点检验设定。
1.2 校准操作
1.2.1 被检流量计工作状态检查
根据流量计使用说明书要求,检查确定流量计是否正常工作。根据流量计检定**或出厂校验单,检查转换器中影响计量准确度关键参数的输入是否正确。具备停流条件的管道,检查流量计的零点流量。
1.2.2 超声波流量计的安装
超声波流量计串联安装在流量计上游侧或下游侧。用量具分别在换能器安装位置附近的同一截面上大致等角分布测量n次外直径,或测量n次外周长推算出外直径,其平均值D按式(1)计算。

式(1)中:n—测量次数,n≥4;
Di—*i点测得的管道外直径或推算出的外直径。
在换能器安装位置均布5个点,使用测厚仪测量管道壁厚,并取其平均值.对无法测量的参数,如管道材质、衬里材料、厚度等,根据现场技术资料查明并确认。将以上管道参数输入标准表内,得出换能器安装距离L。在标准管段上划线定位,以便准确地安装。也可用坐标纸剪成宽为L的长条,围在管壁上,使纸长等于周长,然后对折,定出换能器的位置。也可参照使用说明书推荐的方法执行。
清理已定安装位置附近的管壁(比换能器约大一倍的面积),将管壁上的油漆、铁锈、污垢等清除干净,露出金属。在换能器表面均匀涂以耦合剂,将换能器上标志对准安装位置,使其发射面与管壁紧密接触.用紧固件将换能器固定在管道上。将换能器信号传输电缆连接到转换器上。按要求将信号调试到*佳状态。
1.2.3 流量计计量性能校准
1.2.3.1 示值误差
根据现场实际情况确定校准流量点,每个流量点校准3次。现场无法调节流量时可以采用在不同的时段进行校准。流量点一般选则1~3个。
每次校准时,同时读取并记录流量计和标准表的示值。若读取的数值为瞬时值,则至少读取20个数值,取其平均值;若读取的数值为累积值,则应保证大于*小读数的1000倍或读取至少20min的累积值。
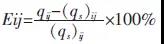
流量计每个流量点每次校准的相对示值误差按式(2)计算。

式(2)中:qij——*i流量点*j次校准时的流量计示值(瞬时值或累积值);
(qs)ij——*i流量点*j次校准时的标准表示值(瞬时值或累积值)。
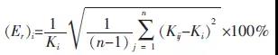
1.2.3.2 重复性

式(3)中:n——*i流量点的校准次数,n≥3;
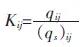
Ki——按类同式(1)计算;
Kij——按式(4)计算。

2 不确定度分析
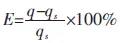
2.1 数学模型:

式(5)中:q——被校流量计示值(瞬时值或累积值);
qs——标准流量计示值(瞬时值或累积值)。

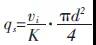
式(6)中:vi——声道上线平均流速;
K——流速分布修正系数;
d——管道内径。
2.2 各不确定度分量:
标准表示值qs的不确定度

测量管径d的不确定度

(管径测量误差为δ,按矩形分布考虑)。
重复性Er的不确定度ur(Er),将各流量点中重复性*大值代入,cr(Er)=1。
平均示值误差E图片不确定度:

式中:Ei—*i流量点的平均示值误差;
E—所有流量点的平均示值误差。
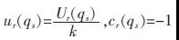
灵敏系数

由于温度、压力和直管段等影响相对较小,忽略其不确定度的影响。
2.3 合成标准不确定度及扩展不确定度:
合成标准不确定度ucr按下式计算。

扩展不确定度Ur=k·ucr,k=2.
3 比较和结论
近几年来,通过一系列的现场试验,利用上述方法对液体流量计进行在线的校准,取得了比较可信的结果。表1显示了对不同口径规格的电磁流量计进行在线校准的示值误差结果和实验室标准装置上检定结果的比较情况:

通过上述数据的对比,我们可以得出以下结论:对同**量计,在线校准和实验室检定得到的误差结果符号完全一致,说明两种测量方法的结果是一致的;两种测量结果的*大差值也在1%左右以内,符合不确定度评定的要求,完全能够满足现场使用对液体流量计误差的需要。

