产品目录
液体涡轮流量计
液体流量计
水流量计
油流量计
气体涡轮流量计
椭圆齿轮流量计
电磁流量计
涡街流量计
蒸汽流量计
孔板流量计
旋进旋涡流量计
热式气体质量流量计
转子流量计
浮子流量计
靶式流量计
气体流量计
超声波流量计
磁翻板液位计
浮子液位计
浮球液位计
玻璃管液位计
雷达液位计
超声波液位计
投入式液位计
压力变送器
差压变送器
液位变送器
温度变送器
热电偶
热电阻
双金属温度计
推荐产品
联系我们
- 金湖凯铭仪表有限公司
- 联系电话:15195518515
- 在线客服:1464856260
- 电话:0517-86801009
- 传真号码:0517-86801007
- 邮箱:1464856260@qq.com
- 网址:http://m.bhdmvez.cn
- 地址:江苏省金湖县理士大道61号
二寸柴油计量表安装时直管段长度与测量精度的关系
发布时间:2021-01-10 05:51:10??点击次数:2481次
在流量计测量过程中,直管段有时是一个对于测量精度有着非常重要影响的因素,对直管段有要求的仪表主要有电磁流量计、二寸柴油计量表、涡街流量计、阿牛巴和孔板等,对直管段的要求大部分都是前5后3。 现在大部分电磁流量计采用非均匀电磁场对流体流速分布的轴对称性要求较低,因此电磁流量计可以适当减少;而涡街流量计,阿牛巴和孔板对流体流速分布要求比较严,若无法满足直管段要求可能导致无法测量。这里我就涡街流量计阐述,项目施工的时候没按设计要求进行,结果直管段要求没达到,水联动试验的时候测量就不是误差了,那简直就是不准,过水200公斤,*后测量是1100公斤,后来改完直管段之后就没问题了,相信应该知道直管段的重要性了吧。
对于测量精度和误差影响我们也没有实际的经验数据,如果测量参数用于过程控制,在工艺能够接受的范围内的误差都是可以的,如果是用于计量,如水,天然气,油等则应达到其标称精度,另外用于计量的仪表计量局会对其进行验收,不达标的不会通过。
如果有条件建议直管段留长一些。
一般孔板的为前10D后5D,也有为前24D后7D的时候,*好是前直管段30~50D为好
二寸柴油计量表为前15D后5D
涡街流量计为前15-20D后5D
对于质量流量计无特殊要求
转子、椭圆齿轮流量计也无特殊要求
不过一般直管段*好是有,长度尽可能的长。

二寸柴油计量表是一种速度式流量仪表,由于具有结构紧凑、测量精度高、反应速度快、测量范围广、价格低廉和安装方便等优点,而得到广泛应用。对于贸易结算计量,流量计的精确度是至关重要的。
二寸柴油计量表在测量过程中对直管段的一般性要求为:流量计必须水平安装在管道上(管道倾斜在5以内),安装时流量计轴线应与管道轴线同心,流向要一致。 流量计上游管道长度应有不小于2D的等径直管段,如果安装场所充许建议上游直管段为20D、下游为5D。
影响二寸柴油计量表精度的主要外部因素是流体的流动状态,二寸柴油计量表特性曲线要保持良好的线性关系,流过流量计的流体应为充分发展的流型。对流量计的精度和直管段的预测,为不同精度要求的二寸柴油计量表选择适当长度的直管段提供了理论参考。
影响二寸柴油计量表精度的主要外部因素是流体的流动状态,二寸柴油计量表特性曲线要保持良好的线性关系,流过流量计的流体应为充分发展的流型。
1.旋转系数与下游直管段长度之间的关系旋转流的旋转强度用旋转系数来表示,旋转系数定义为角动量通量与轴向动量通量的比值:

式中: w———周向速度;
u———轴向速度;
R———管道半径;
A———流体流过的横截面积;
ρ———密度。
对于圆管内的旋转流,在r= 0.95R处的旋转
角度*大,即:

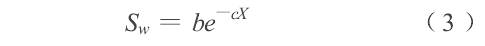
采用多项迭代的方法,可编程计算出在某个X值时(X为圆管直径D的倍数)满足一定精度的Sw值:

常数b和c与流体性质、雷诺数和流量有关,需要通过实验确定。对于不可压缩流体, b= 0.030~ 0.085, c= 0.10~ 0.50。一般来说,流量越大,旋转流的衰减越大,由式(3)可以看出,旋转流发生后的直管段越长,旋转流的强度越弱,对二寸柴油计量表精度的影响越小。
2.实验设计与结果分析
为了在实验过程中能得到理想的旋转流体,实验中采用了模拟多种强度旋转流的发生器,旋转流发生器安装在流量计上游来流的起始点处。实验采用称量法,记录电子称上的质量脉冲数
N,N乘以质量脉冲常数(0.08333),即得到质量值(kg),同时记录时间和涡轮变送器的脉冲数,在每个流量点重复做三次,记录三组数据,共选择5个流量点来覆盖二寸柴油计量表的测量量程。流量Q= 0.08333N/t,仪表系数为:

仪表系数K与旋转数Sw成线性关系,仪表精度为:

其中α、d均为待定系数。根据实验所得多组脉冲数和流量数据,可计算出仪表精度δ值。按δ- X方程及δ和X数据进行*小二乘法回归,可确定α和d的数值。一般来说,对不可压缩流体,α= 1.15~ 2.20, d= 0.016~ 0.11。
3.直管段长度和二寸柴油计量表精度的初步预测在工程设计中,根据流体性质、流量和雷诺数确定α和d值。这样,按照式(5)就可以依不同的流量计精度要求,对直管段长度进行初步预测,或确定直管段长度后,对流量计的精度做初步预测。当δ= 0.2%时,不同流量下所需直管段长度见表1。

当X= 30时,不同流量下仪表精度见表2

对流量计的精度和直管段的预测,为不同精度要求的二寸柴油计量表选择适当长度的直管段提供了理论参考。
4.结语
(1)旋转数Sw与X成指数关系,即随着下游距离X的增加,旋转流强度以指数方式衰减。指数系数c和α值与介质的性质,雷诺数等参数有关。
(2)对于任一旋转流源,随着下游距离X的增加,在大流量区旋转流强度衰减速度快,而在小流量区,旋转流强度衰减速度要慢一些,因此,对小流量的流量计管道设计中需要加长直管段,以减少旋转流对流量计精度的影响。
(3)不论旋转流的方向如何,流量计越靠近旋转流源,流量计的精度δ越差,流量计精度可以按式(5)进行初步预测。
对于测量精度和误差影响我们也没有实际的经验数据,如果测量参数用于过程控制,在工艺能够接受的范围内的误差都是可以的,如果是用于计量,如水,天然气,油等则应达到其标称精度,另外用于计量的仪表计量局会对其进行验收,不达标的不会通过。
如果有条件建议直管段留长一些。
一般孔板的为前10D后5D,也有为前24D后7D的时候,*好是前直管段30~50D为好
二寸柴油计量表为前15D后5D
涡街流量计为前15-20D后5D
对于质量流量计无特殊要求
转子、椭圆齿轮流量计也无特殊要求
不过一般直管段*好是有,长度尽可能的长。

二寸柴油计量表是一种速度式流量仪表,由于具有结构紧凑、测量精度高、反应速度快、测量范围广、价格低廉和安装方便等优点,而得到广泛应用。对于贸易结算计量,流量计的精确度是至关重要的。
二寸柴油计量表在测量过程中对直管段的一般性要求为:流量计必须水平安装在管道上(管道倾斜在5以内),安装时流量计轴线应与管道轴线同心,流向要一致。 流量计上游管道长度应有不小于2D的等径直管段,如果安装场所充许建议上游直管段为20D、下游为5D。
影响二寸柴油计量表精度的主要外部因素是流体的流动状态,二寸柴油计量表特性曲线要保持良好的线性关系,流过流量计的流体应为充分发展的流型。对流量计的精度和直管段的预测,为不同精度要求的二寸柴油计量表选择适当长度的直管段提供了理论参考。
影响二寸柴油计量表精度的主要外部因素是流体的流动状态,二寸柴油计量表特性曲线要保持良好的线性关系,流过流量计的流体应为充分发展的流型。
1.旋转系数与下游直管段长度之间的关系旋转流的旋转强度用旋转系数来表示,旋转系数定义为角动量通量与轴向动量通量的比值:

式中: w———周向速度;
u———轴向速度;
R———管道半径;
A———流体流过的横截面积;
ρ———密度。
对于圆管内的旋转流,在r= 0.95R处的旋转
角度*大,即:

采用多项迭代的方法,可编程计算出在某个X值时(X为圆管直径D的倍数)满足一定精度的Sw值:

常数b和c与流体性质、雷诺数和流量有关,需要通过实验确定。对于不可压缩流体, b= 0.030~ 0.085, c= 0.10~ 0.50。一般来说,流量越大,旋转流的衰减越大,由式(3)可以看出,旋转流发生后的直管段越长,旋转流的强度越弱,对二寸柴油计量表精度的影响越小。
2.实验设计与结果分析
为了在实验过程中能得到理想的旋转流体,实验中采用了模拟多种强度旋转流的发生器,旋转流发生器安装在流量计上游来流的起始点处。实验采用称量法,记录电子称上的质量脉冲数
N,N乘以质量脉冲常数(0.08333),即得到质量值(kg),同时记录时间和涡轮变送器的脉冲数,在每个流量点重复做三次,记录三组数据,共选择5个流量点来覆盖二寸柴油计量表的测量量程。流量Q= 0.08333N/t,仪表系数为:

仪表系数K与旋转数Sw成线性关系,仪表精度为:

其中α、d均为待定系数。根据实验所得多组脉冲数和流量数据,可计算出仪表精度δ值。按δ- X方程及δ和X数据进行*小二乘法回归,可确定α和d的数值。一般来说,对不可压缩流体,α= 1.15~ 2.20, d= 0.016~ 0.11。
3.直管段长度和二寸柴油计量表精度的初步预测在工程设计中,根据流体性质、流量和雷诺数确定α和d值。这样,按照式(5)就可以依不同的流量计精度要求,对直管段长度进行初步预测,或确定直管段长度后,对流量计的精度做初步预测。当δ= 0.2%时,不同流量下所需直管段长度见表1。

当X= 30时,不同流量下仪表精度见表2

对流量计的精度和直管段的预测,为不同精度要求的二寸柴油计量表选择适当长度的直管段提供了理论参考。
4.结语
(1)旋转数Sw与X成指数关系,即随着下游距离X的增加,旋转流强度以指数方式衰减。指数系数c和α值与介质的性质,雷诺数等参数有关。
(2)对于任一旋转流源,随着下游距离X的增加,在大流量区旋转流强度衰减速度快,而在小流量区,旋转流强度衰减速度要慢一些,因此,对小流量的流量计管道设计中需要加长直管段,以减少旋转流对流量计精度的影响。
(3)不论旋转流的方向如何,流量计越靠近旋转流源,流量计的精度δ越差,流量计精度可以按式(5)进行初步预测。
相关资讯
- 二寸柴油计量表,智能柴油计量表
- dn40柴油流量计,油船柴油流量计量表
- dn80柴油流量计,柴油流量表厂家
- dn65柴油流量计,柴油流量计量仪
- dn50柴油流量计,数显柴油流量计
- 两寸柴油流量计,柴油流量计量表选型
- dn65柴油流量计,测量柴油流量计
- dn80柴油流量计,智能柴油计量表
- 2寸柴油流量计在投产前及投产后应该注意的要求
- dn40柴油流量计,加油站柴油流量计
- 关于dn50柴油流量计正确的安装步骤
- dn65柴油流量计,柴油流量计价格
- 智能2寸柴油流量计选型应该注意的十点事项
- 二寸柴油计量表安装时直管段长度与测量精度的关系
- 二寸柴油计量表
- 2寸柴油流量表,柴油流量表价格
- 2寸柴油流量表
- 二寸管柴油流量表
- dn40柴油流量计,柴油专用流量表
- dn65柴油流量计
- 关于dn40柴油流量计正确的安装步骤
- dn40柴油流量计
- 二寸管柴油流量表在润滑油性能测试中数据比较
- dn80柴油流量计

